注册建造师网注册建造师网
  • 登陆本站

    立即登录

    0
    文章
    0
    评论
    0
    积分
  • 首页
  • 一级建造师
  • 二级建造师
  • 造价工程师
  • 监理工程师
  • 安全工程师
  • 消防工程师
  • 文库
登录
  • 消防工程师前景怎么样?还有用吗?,消防工程师前景
    消防工程师

    消防工程师前景怎么样?还有用吗?,消防工程师前景

    尽管注册消防工程师考试去年才开考,但是报考数量却惊人,消防工程师的行业前景更是值得期待,证书挂靠价格比较高,这也是越来越多的人报考注...

    2024-10-13
    0 340
  • 江苏二级造价工程师报名网址,江苏二级造价工程师报名
    造价工程师

    江苏二级造价工程师报名网址,江苏二级造价工程师报名

    1、二级造价工程师考试时间各不相同,一般报名在考前2个月左右开始报名条件为大专及以上学历,从事工程造价工程管理业务工作年限不限以下为部分...

    2024-10-12
    0 382
  • 济南工程监理招聘信息,济南监理工程师招聘
    监理工程师

    济南工程监理招聘信息,济南监理工程师招聘

    1、监理单位有广东国信工程监理公司葛洲坝集团项目管理有限公司浙江铭阳工程管理股份有限公司福建省明信德工程咨询有限公司上海市建设工程监理咨...

    2024-10-12
    0 381
  • 二级建造师的考试用书,二级建造师考试用书上的2B300000什么意思
    二级建造师

    二级建造师的考试用书,二级建造师考试用书上的2B300000什么意思

    考二级建造师重中之重就是完全掌握考试教材!没有强大的知识基础,其他都没有用近几年二建考试难度有所增加,考查的知识点越来越细化鉴于现阶段距...

    2024-10-12
    0 367
  • bim工程师和高级工程师区别是什么bim工程师和高级工程师区别
    BIM工程师

    bim工程师和高级工程师区别是什么bim工程师和高级工程师区别

    3工作满一年 二中级BIM专业工程师 凡遵守国家法律法规,具备以下条件之一者,经考前培训学时达标,可报名参加中级BIM工程师考试1专科以...

    2024-10-12
    0 333
  • 消防工程师合格率消防工程师考试成绩合格标准
    消防工程师

    消防工程师合格率消防工程师考试成绩合格标准

    2021年一级消防工程师的通过率大致在35 消防工程师2022年的通过率不是很高,一般在2%4%左右二2022年北京一级消防工程师的分数...

    2024-10-12
    0 376
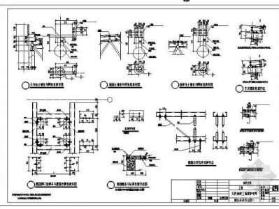
  • 檩条节点,檩条节点图集
    工程资源

    檩条节点,檩条节点图集

    用梁命令,截面型材里面Z型檩条即可。 正斜脊瓦在安装搭接处应要锯齐,正斜脊瓦在安装完毕以后,再进行三通瓦的安装因为固定件一般都是使用专用...

    2024-10-12
    0 499
  • 考岩土工程师放弃高数可以么岩土工程师其他专业可以考吗?
    岩土工程师

    考岩土工程师放弃高数可以么岩土工程师其他专业可以考吗?

    不会高等数学对于考取岩土工程师确实是一个挑战,因为岩土工程领域涉及到许多需要数学基础的知识和技能这并不意味着没有高等数学背景就无法成为岩...

    2024-10-12
    0 330
  • 一级建造师机电教材电子版下载,一建机电教材2020电子版下载
    一级建造师

    一级建造师机电教材电子版下载,一建机电教材2020电子版下载

    一级建造师考试科目中实务科目最难 建工资源实时更新链接 ?pwd=2D72 提取码2D72 资源包含2022一建 教材 建设工程经济pd...

    2024-10-12
    0 343
  • 安全工程师考什么专业注册就,安全工程专业注册安全工程师报考条件
    安全工程师

    安全工程师考什么专业注册就,安全工程专业注册安全工程师报考条件

    1、硕士学位要求安全工程或相关专业硕士毕业,从事安全生产业务满一年,或非安全专业硕士毕业从事安全生产业务满两年博士学位要求拥有博士学位,...

    2024-10-12
    0 344
  • 结构工程师培训班结构工程师哪个培训好
    结构工程师

    结构工程师培训班结构工程师哪个培训好

    石岩手机产品结构设计培训 随着经济的飞速发展,现在的人类进入了后工业时代和互联网时代。在经济和社会变革的过程中,设计风格也随着不断变化...

    2024-10-12
    0 340
  • 注册岩土工程师几年一换注册岩土工程师几年一换证
    岩土工程师

    注册岩土工程师几年一换注册岩土工程师几年一换证

    1、注册有效期是三年,不是2年,你记错了。...

    2024-10-12
    0 700
  • bim工程师是国家认可的么bim工程师证书含金量怎么样
    BIM工程师

    bim工程师是国家认可的么bim工程师证书含金量怎么样

    中国建设教育协会的住房城乡建设领域BIM证书,这个是目前住建领域唯一认可证书,归口管理单位是住建部还有一个问题就是与图学会合作的人社部教...

    2024-10-12
    0 381
  • 消防工程师一级报考时间,2020年一级消防工程师考试报名时间
    消防工程师

    消防工程师一级报考时间,2020年一级消防工程师考试报名时间

    2023年消防报名时间8月5日至8月12日报名时招录对象可按照个人意向选择在户籍地省份或经常居住地省份报名在户籍所在地省份报名的,可根据...

    2024-10-12
    0 373
  • 监理工程师今年教材换了吗监理工程师22年教材变化大吗
    监理工程师

    监理工程师今年教材换了吗监理工程师22年教材变化大吗

    鲁能集团、都城伟业集团2017年第5批集中规模采购工程服务类-新能源招标公告 招标编号: SDLN-20170713-JZ05-...

    2024-10-12
    0 387
  • 注册安全工程师继续教育在哪儿报名,注册安全工程师继续教育
    安全工程师

    注册安全工程师继续教育在哪儿报名,注册安全工程师继续教育

    承认注册安全工程师是指通过注册安全工程师职业资格考试并取得称号,截止2022年12月26日是全国通用的,所以继续教育是全国承认的继续教育...

    2024-10-12
    0 349
首页 上一页 705 706 707 708 709 710 711 712 713 下一页 尾页

正在加载...

没有更多内容

加载错误

Copyright 2019-2022 www.erjian.cc All Rights Reserved Powered by 注册建造师网 | 滇ICP备2022003306号-2